拼音:yī tuō bó gān 【别名】 表鬼臼毒比喃葡萄糖甙;泛必治;拉司太特;威克;依托泊甙;足叶乙甙;依托泊苷 , 依托扑沙,鬼臼乙叉甙 ,足叶乙叉苷【外文名】Etoposide ,VP-16,VP-16-213【适应症】1.主要用于治。
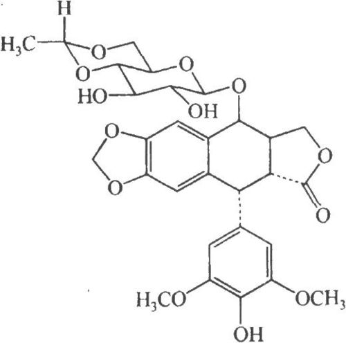
依托泊苷::分 子 式:C29H32O13,分子量:588.56。
卡铂:分子式:C6H12N2O4Pt,分子量:371.3。
3、性状不同 依托泊苷:易溶于水。
威克、泛必治、拉司太特软胶囊内含无色或淡黄色澄明粘性液体,易溶于甲醇和氯仿。

依托泊苷为细胞周期特异性抗肿瘤药物,作用于DNA拓扑异构酶Ⅱ,形成药物-酶- DNA稳定的可逆性复合物,阻碍DNA修复。
实验发现这复合物可随药物的清除而逆转 ,使损伤的DNA得到修复,降低了细胞毒作用。
因此,延长药物的给药时。
每mL不超过0.25mg。
依托泊苷主要用于抗肿瘤,主要用于治疗小细胞肺癌等,以静脉滴注为主,需要加依托泊苷用氯化钠注射液稀释,浓度每mL不超过0.25mg,静脉注射时间不得少于30分钟,而没有达到标准的话,会导致整体治疗没。

依托泊苷的不良反应 ⑴骨髓抑制:白细胞和血小板减少, 贫血 ,此为剂量限制性毒性。
⑵胃肠道反应:恶心,呕吐,食欲不振,口腔炎, 腹泻 ;偶有 腹痛 , 便秘 。
⑶过敏反应:有时可出现皮疹,红斑, 瘙痒 。