根号计算方法如下:1、相乘时:两个有平方根的数相乘等于根号下两数的乘积,再化简;2、相除时:两个有平方根的数相除等于根号下两数的商,再化简;3、相加或相减:没有其他方法,只有用计算器求出具体值再相加或相减;4、。
手算开根号的计算方法可以分为两种常用的方法:试位法和牛顿迭代法。
1.试位法:步骤1:将被开方数写成一对平方数的和的形式。
步骤2:找到一个整数,使其平方小于或等于被开方数,而且下一个整数的平方大于被开方数。
这个。

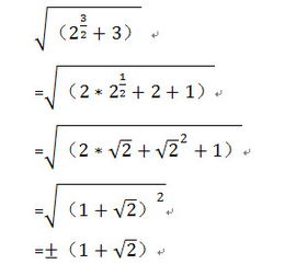
数学开根号怎么算数学开根号算法:先计算出最里面根号的值,再接着开外面的根号。
1、根式开方法则是根式的运算法则之一,算术根开n次方,把根指数扩大n倍,被开方数不变。
非算术根的开方不总是可能的,负数的奇次方根开奇次方时,一般先。
开根号就像求一个数的几次方的反义词一样,比如3的2次方是9,那么9开根号2就是3。
在中学阶段,涉及开平方的计算,一是查数学用表,一是利用计算器。
而在解题时用的最多的是利用分解质因数来解决。
如化简√1024,因为。

开根号相对的运算是平方,其实开根号的计算方法就是按数的平方来推的。
因为5的平方是25,所以根号下25等于5。