百科大全网
  • 百科首页
  • 资讯快报
  • 营销信息
  • 技术资料
  • 文档大全
  • 问答知识
两只牛公牛对母牛说歌词,两只牛蛙大概几斤

两只牛公牛对母牛说歌词,两只牛蛙大概几斤

梦到两头牛是什么意思  我梦到两只牛【象征着自己的感情和事业,渴望幸福美满的生活和愿望的满足】有一只我好像是向它走去 但是它好像很敌意吧【人际关系受挫,徘徊和矛盾中】本来有一块石头压着它拴在脖子上的绳......
  • 2023-09-25 11:38:35
潜的拼音,潜水的拼音声调

潜的拼音,潜水的拼音声调

潜水的读音是什么  潜水的读音是:qián shuǐ。  释义:1、(地质)饱和层中的地下水。  2、潜藏在水中。  3、在水面以下活动。  4、网络潜水社区:网络上用于潜水交流的SNS、论坛、博客等......
  • 2023-09-25 11:37:02
Accommodating 翻译,Accommodating Realtor

Accommodating 翻译,Accommodating Realtor

accommodating是什么意思  accommodating [英][əˈkɒmədeɪtɪŋ][美][əG......
  • 2023-09-25 11:35:15
爱国志士的名言三则,爱国志士的名句

爱国志士的名言三则,爱国志士的名句

仁人志士的爱国名言  仁人志士的爱国名言1. 为中华崛起而读书。   ——周恩来 2. 人民不仅有权爱国,而且爱国是个义务,是一种光荣。   ——徐特立 3. 天下兴亡,匹夫有责。   ——(清)顾炎......
  • 2023-09-25 11:29:12
临床试验irc是什么意思,irc是什么意思的缩写中文翻译

临床试验irc是什么意思,irc是什么意思的缩写中文翻译

irc是什么意思?  意思是 国际红十字会(International Red Cross); Internet 交互式闲聊程序(Internet Relay Chat)。  短语 IRC客户程序 m......
  • 2023-09-25 11:28:23
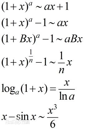
等价无穷小替换公式图片,等价无穷小替换公式可以直接用吗

等价无穷小替换公式图片,等价无穷小替换公式可以直接用吗

等价无穷小替换公式是什么?  等价无穷小替换公式如下:1、sinx~x 2、tanx~x 3、arcsinx~x 4、arctanx~x 5、1-cosx~(1/2)*(x^2)~secx-1 等价无......
  • 2023-09-25 11:27:02
fungus复数,fungus的复数形式是什么

fungus复数,fungus的复数形式是什么

fungus是什么意思啊  n.真菌,真菌类植物 (如蘑菇、毒蕈、霉菌等);霉,霉菌;突然发生并迅速生长的东西;<医>海绵肿;真菌病(一种鱼皮肤病);<俚> 胡须 adj.真菌的,似真菌的,由真菌引起......
  • 2023-09-25 11:17:13
课外延伸是什么意思,拓展延伸是什么意思

课外延伸是什么意思,拓展延伸是什么意思

延伸的意思延伸的意思是什么  延伸的词语解释是:延伸yánshēn。  (1)延长;扩大宽度、大小、范围。  延伸的词语解释是:延伸yánshēn。  (1)延长;扩大宽度、大小、范围。  注音是:一......
  • 2023-09-25 11:14:52
朴槿惠传好词语,朴槿惠新传

朴槿惠传好词语,朴槿惠新传

绝望锻炼了我:朴槿惠自传的内容简介  本书为韩国首位女总统朴槿惠唯一亲笔自传。  在书中,朴槿惠以最平实的笔触,娓娓道出她的过往人生,处处可见她对父母的追慕与怀念之情、对韩国人民怀抱的使命感,以及历经......
  • 2023-09-25 11:12:27
游子意是什么意思,游子吟幼儿园教学视频

游子意是什么意思,游子吟幼儿园教学视频

浮云游子意,落日故人情。的全诗  这句诗的意思是:挥挥手从此分离,友人骑的那匹将要载他远行的马萧萧长鸣,似乎不忍离去。  出处:唐·李白《送友人》原诗:青山横北郭,白水绕东城。  此地一为别,孤蓬万里......
  • 2023-09-25 11:11:31
    • 共89771条
    • 第一页
    • 上一页
    • 645
    • 646
    • 647
    • 648
    • 649
    • 650
    • 651
    • 652
    • 653
    • 下一页
    • 最后一页

实时百科

  • 罗乐林老婆,罗乐林神雕侠侣

    罗乐林老婆,罗乐林神雕侠侣

  • 柞水县领导班子,柞水县邮政编码

    柞水县领导班子,柞水县邮政编码

  • 炮烙之刑什么意思,炮烙怎么念

    炮烙之刑什么意思,炮烙怎么念

  • 预备立宪的内容与意义,预备立宪名词解释

    预备立宪的内容与意义,预备立宪名词解释

  • 护心草怎么吃,护心草长什么样

    护心草怎么吃,护心草长什么样

  • 后院起火啥意思,前院观花是什么意思,后院起火预示着什么

    后院起火啥意思,前院观花是什么意思,后院起火预示着什么

  • 亚马逊河流域的常年降水类型属于,亚马逊河流量是长江的几倍

    亚马逊河流域的常年降水类型属于,亚马逊河流量是长江的几倍

  • 简成语,符成语四个字开头

    简成语,符成语四个字开头

  • 归尾和当归的区别,归尾和当归的功效区别

    归尾和当归的区别,归尾和当归的功效区别

  • 寒假记事作文300字,寒假记事作文400字四年级

    寒假记事作文300字,寒假记事作文400字四年级

  • 纪拼音组词,召唤拼音

    纪拼音组词,召唤拼音

  • 贵州省丹寨县邮政编码,贵州省丹寨县兴仁镇邮政编码

    贵州省丹寨县邮政编码,贵州省丹寨县兴仁镇邮政编码

  • 立方米计算器在线,长×宽x高等于立方吗

    立方米计算器在线,长×宽x高等于立方吗

  • 成都龙景花园房价,成都龙景花园二手房价格

    成都龙景花园房价,成都龙景花园二手房价格

  • 学校反恐演练方案,商场反恐演练方案

    学校反恐演练方案,商场反恐演练方案

  • 公司红头文件是什么意思,私企红头文件是什么意思

    公司红头文件是什么意思,私企红头文件是什么意思

网站首页

版权所有:百科大全网    专为读者提供百科知识内容

友情链接: