百科大全网
  • 百科首页
  • 资讯快报
  • 营销信息
  • 技术资料
  • 文档大全
  • 问答知识
导数除法公式推导,导数除法的基本公式

导数除法公式推导,导数除法的基本公式

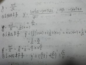
导数除法运算公式是什么呢?  导数除法运算公式是(u/v)'=(u'v-uv')/v²。  求导是数学计算中的一个计算方法,导数定义为当自变量的增量趋于零时,因变量的增量与自变量的增量之商的......
  • 2023-10-26 09:30:20
年份属相表什么命,年份属相表对应的金木水火土

年份属相表什么命,年份属相表对应的金木水火土

十二生肖年份表  十二生肖出生年份表(1960-2021年):1960年、1972年、1984年、1996年、2008年、2020年等为生肖鼠年。  1961年、1973年、1985年、1997年、2......
  • 2023-10-26 09:24:31
icebox是什么意思,icebox瓦罗兰特

icebox是什么意思,icebox瓦罗兰特

icebox是什么意思  icebox的意思是:冰箱;冷藏库。  icebox:名词(用冰块冷冻食物的)冰柜,冷藏库,音标是【aɪsbɒks】,复数是iceboxes,同近义词re......
  • 2023-10-26 09:22:47
简笔画火车头,简笔画火车图片大全大图

简笔画火车头,简笔画火车图片大全大图

火车的简笔画是怎么画的  1、首先画出小火车的大致轮廓,长方体的。  2、画出小火车的车窗,整齐排列,侧面的车窗大小相同。  3、在火车前面画出一个可爱的生物,张着嘴巴看向外面。  4、画出火车外部不......
  • 2023-10-26 09:22:08
虚热体质的症状有哪些表现,虚热体质怎么调理

虚热体质的症状有哪些表现,虚热体质怎么调理

为什么虚热不能清?  因为阴虚内热体质不实热而是虚热,虚热的情况建议可以用滋阴补肾的方法来缓解,不建议用清热药物,如果想要调理的话,建议尽量去中医科就诊,在专业医生的诊断以后开具药方!在中医学中,“虚......
  • 2023-10-26 09:21:12
崇字怎么组词语,崇字怎么组词和拼音

崇字怎么组词语,崇字怎么组词和拼音

崇组词有哪些词语  崇高、崇拜、崇尚、崇奉、尊崇、推崇、奖崇、崇号、蕴崇、崇衷、封崇、崇名、崇显、崇阻、崇赫、蕰崇、厉崇、崇兰、崇秘、高崇、崇蕴、贵崇、崇年、崇弘、崇峭、崇亘、脩崇、钦崇、穹崇、崇墉 ......
  • 2023-10-26 09:07:33
盘龙七片副作用及危害,盘龙七片副作用太厉害

盘龙七片副作用及危害,盘龙七片副作用太厉害

盘龙七片的功效与作用  盘龙七片的功效与作用 1、活血化瘀 盘龙七片中使用的盘龙7和川物以及草乌还有红花和5加皮等中药材,都是能活血化瘀的中药,它们在提纯加工以后制成的盘龙七片,也具有活血化瘀的重要......
  • 2023-10-26 09:03:34
金昌市地图高清,金昌市地图丽景西苑

金昌市地图高清,金昌市地图丽景西苑

金昌在武威的上面还是下面  上面。  根据查询百度地图可知,金昌市位于甘肃省的中部,而武威位于甘肃省的中下部,金昌在武威的左上方,也就是西北方,因此金昌在武威的上面。  金昌市,是甘肃省辖地级市,古丝......
  • 2023-10-26 09:02:56
高迎春简历,高迎春画家

高迎春简历,高迎春画家

丹霞春姐团队为何解散  丹霞春姐团队解散的原因有:1. 丹霞春姐团队没有解散,只是换了一个人。  2. 本来想物色一个人当队长,结果说错话引起一些不愉快,最后不了了之。  3. 本来丹霞春姐的团队有6......
  • 2023-10-26 08:57:59
抱怨的英语单词怎么写,一味抱怨的英语

抱怨的英语单词怎么写,一味抱怨的英语

抱怨英语  抱怨英语是:complain。  读音:英[kəmˈpleɪn],美[kəmˈpleɪn]。  释义:vi.投诉;发牢骚;诉说。......
  • 2023-10-26 08:57:12
    • 共90444条
    • 第一页
    • 上一页
    • 20
    • 21
    • 22
    • 23
    • 24
    • 25
    • 26
    • 27
    • 28
    • 下一页
    • 最后一页

实时百科

  • 罗乐林老婆,罗乐林神雕侠侣

    罗乐林老婆,罗乐林神雕侠侣

  • 柞水县领导班子,柞水县邮政编码

    柞水县领导班子,柞水县邮政编码

  • 炮烙之刑什么意思,炮烙怎么念

    炮烙之刑什么意思,炮烙怎么念

  • 预备立宪的内容与意义,预备立宪名词解释

    预备立宪的内容与意义,预备立宪名词解释

  • 护心草怎么吃,护心草长什么样

    护心草怎么吃,护心草长什么样

  • 后院起火啥意思,前院观花是什么意思,后院起火预示着什么

    后院起火啥意思,前院观花是什么意思,后院起火预示着什么

  • 亚马逊河流域的常年降水类型属于,亚马逊河流量是长江的几倍

    亚马逊河流域的常年降水类型属于,亚马逊河流量是长江的几倍

  • 简成语,符成语四个字开头

    简成语,符成语四个字开头

  • 归尾和当归的区别,归尾和当归的功效区别

    归尾和当归的区别,归尾和当归的功效区别

  • 寒假记事作文300字,寒假记事作文400字四年级

    寒假记事作文300字,寒假记事作文400字四年级

  • 纪拼音组词,召唤拼音

    纪拼音组词,召唤拼音

  • 贵州省丹寨县邮政编码,贵州省丹寨县兴仁镇邮政编码

    贵州省丹寨县邮政编码,贵州省丹寨县兴仁镇邮政编码

  • 立方米计算器在线,长×宽x高等于立方吗

    立方米计算器在线,长×宽x高等于立方吗

  • 成都龙景花园房价,成都龙景花园二手房价格

    成都龙景花园房价,成都龙景花园二手房价格

  • 学校反恐演练方案,商场反恐演练方案

    学校反恐演练方案,商场反恐演练方案

  • 公司红头文件是什么意思,私企红头文件是什么意思

    公司红头文件是什么意思,私企红头文件是什么意思

网站首页

版权所有:百科大全网    专为读者提供百科知识内容

友情链接: