百科大全网
  • 百科首页
  • 资讯快报
  • 营销信息
  • 技术资料
  • 文档大全
  • 问答知识
自制生根剂的8种方法生根剂配方,怎样自制生根剂

自制生根剂的8种方法生根剂配方,怎样自制生根剂

怎样调制花的生根粉?一、取筷子粗的柳枝数条(多少视需要量定),去其叶片,剪成3.5~7厘米长的若干小段,加适量清水浸泡10天,树枝与水重量比为1:1.5~2,即1公斤树枝用1.5公斤~2公斤水浸泡,取......
  • 2022-10-27 11:34:46
百度95595是什么电话,02995595是什么电话

百度95595是什么电话,02995595是什么电话

95595这个电话号码是哪里的是马来西亚的手机号码 006就是马来西亚国家区号 016是马来西亚digi公司手机号码开头号码 (类似于国内136等这种数字 一看就知道是哪家移动通信公司)95595是什......
  • 2022-10-27 11:34:31
快速蒙版的快捷键,快速蒙版的作用是什么

快速蒙版的快捷键,快速蒙版的作用是什么

快速蒙版的使用?快速蒙版模式使你可以将任何选区作为蒙版进行编辑,而无需使用“通道”调板,在查看图像时也可如此。将选区作为蒙版来编辑的优点是几乎可以使用任何 Photoshop 工具或滤镜修改蒙版。例如......
  • 2022-10-27 11:34:04
铅笔怎么画简单漂亮,铅笔怎么画 简单

铅笔怎么画简单漂亮,铅笔怎么画 简单

画画铅笔怎么用,就是2B画哪里,3B,4B,到7B,哪些地方用哪些笔?看习惯我个人习惯2B或3B起形,6B铺大调子,然后灰面4B,比较灰的地方用2B,暗部用7B,8B细节一般用HB,亮面但不是最亮的一......
  • 2022-10-27 11:33:41
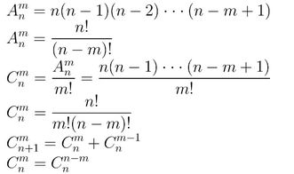
组合a的计算公式,排列与组合的计算公式

组合a的计算公式,排列与组合的计算公式

数学 组合公式C20 4=20*19*18*17/4*3*2*1=4845数学的组合公式C是组合 比如ABC中选2个组合 那么AB BA算一种组合 一共有AB AC BC 三种组合 P是排列(人教版把......
  • 2022-10-27 11:33:21
相亲相爱的意思是什么意思,相亲相爱的唯美句子

相亲相爱的意思是什么意思,相亲相爱的唯美句子

相亲相爱的意思意思是两个人相敬如宾,相互尊重,相互呵护什么是相亲相爱啊?什么叫相亲相爱朋友林的妈妈被送进重症监护室后,大家心里都有一种不好的征兆,不知这位67岁的长辈能否从这监护室中平安的出来。昨晚,......
  • 2022-10-27 11:33:08
什么的微风填空词语,什么的微风填空二年级

什么的微风填空词语,什么的微风填空二年级

什么的微风?1、(和煦)的微风。2、(徐徐)的微风。3、(清凉)的微风。4、(凉爽)的微风。5、(轻柔)的微风。6、(清爽)的微风。填空题的特点:填空题题小,跨度大,覆盖面广,形式灵活,可以有目的、和......
  • 2022-10-27 11:32:46
麦昆鞋子正品多少钱,麦昆鞋子图片

麦昆鞋子正品多少钱,麦昆鞋子图片

亚历山大·麦昆(Alexander McQueen),原创者(设计师)死后这个牌子怎么样了。McQueen啊,小s的御用品牌,这种老牌子是不会倒的,女士鞋也算是能进排名的品牌,设计独到,十分不错,但我......
  • 2022-10-27 11:32:35
insiders什么意思,insider是什么版本

insiders什么意思,insider是什么版本

什么是windows10 insiders就是参加windows 10系统内测的用户 加入windows会员计划的用户 本人就是的windows10 insiders https://insider......
  • 2022-10-27 11:32:05
添加商品是在亚马逊平台哪个模块,开票怎么添加商品编码

添加商品是在亚马逊平台哪个模块,开票怎么添加商品编码

怎样在淘宝店内添加商品后台,发布新品,填写属性,发布就行了。支付宝扫码点单中怎么添加产品的啊?方/步骤1:首先我们打开支付宝,在支付宝里找到【商家服务】,点击进入。方法/步骤2:然后在界面中找到【扫码......
  • 2022-10-27 11:31:57
    • 共90444条
    • 第一页
    • 上一页
    • 8876
    • 8877
    • 8878
    • 8879
    • 8880
    • 8881
    • 8882
    • 8883
    • 8884
    • 下一页
    • 最后一页

实时百科

  • 罗乐林老婆,罗乐林神雕侠侣

    罗乐林老婆,罗乐林神雕侠侣

  • 柞水县领导班子,柞水县邮政编码

    柞水县领导班子,柞水县邮政编码

  • 炮烙之刑什么意思,炮烙怎么念

    炮烙之刑什么意思,炮烙怎么念

  • 预备立宪的内容与意义,预备立宪名词解释

    预备立宪的内容与意义,预备立宪名词解释

  • 护心草怎么吃,护心草长什么样

    护心草怎么吃,护心草长什么样

  • 后院起火啥意思,前院观花是什么意思,后院起火预示着什么

    后院起火啥意思,前院观花是什么意思,后院起火预示着什么

  • 亚马逊河流域的常年降水类型属于,亚马逊河流量是长江的几倍

    亚马逊河流域的常年降水类型属于,亚马逊河流量是长江的几倍

  • 简成语,符成语四个字开头

    简成语,符成语四个字开头

  • 归尾和当归的区别,归尾和当归的功效区别

    归尾和当归的区别,归尾和当归的功效区别

  • 寒假记事作文300字,寒假记事作文400字四年级

    寒假记事作文300字,寒假记事作文400字四年级

  • 纪拼音组词,召唤拼音

    纪拼音组词,召唤拼音

  • 贵州省丹寨县邮政编码,贵州省丹寨县兴仁镇邮政编码

    贵州省丹寨县邮政编码,贵州省丹寨县兴仁镇邮政编码

  • 立方米计算器在线,长×宽x高等于立方吗

    立方米计算器在线,长×宽x高等于立方吗

  • 成都龙景花园房价,成都龙景花园二手房价格

    成都龙景花园房价,成都龙景花园二手房价格

  • 学校反恐演练方案,商场反恐演练方案

    学校反恐演练方案,商场反恐演练方案

  • 公司红头文件是什么意思,私企红头文件是什么意思

    公司红头文件是什么意思,私企红头文件是什么意思

网站首页

版权所有:百科大全网    专为读者提供百科知识内容

友情链接: