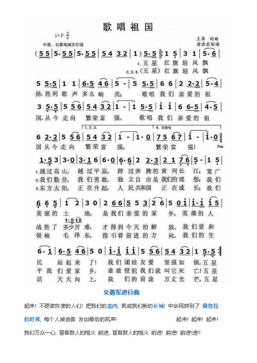
歌唱祖国歌词标准版歌唱我们亲爱的祖国,从今走向繁荣富强。
歌唱我们亲爱的祖国,从今走向繁荣富强。
我们勤劳,我们勇敢,独立自由是我们的理想;歌唱祖国 歌唱祖国 我们战胜了多少苦难,才得到今天的解放!我们爱和平,我们爱家乡,谁敢侵犯我们就叫。

歌唱祖国的歌词,五星红旗迎风飘扬,胜利歌声多么响亮,歌唱我们亲爱的祖国,从今走向繁荣富强,五星红旗迎风飘扬,胜利歌声多么响亮,歌唱我们亲爱的祖国,从今走向繁荣富强,越过高山,越过平原,跨过奔腾的黄河,长江宽广美丽的土。
歌谱要简谱《歌唱祖国》简谱:歌词:五星红旗迎风飘扬,胜利歌声多么响亮;歌唱我们亲爱的祖国,从今走向繁荣富强。
歌唱我们亲爱的祖国,从今走向繁荣富强。
越过高山,越过平原,跨过奔腾的黄河长江;宽广美丽的土地,是我们亲爱的家乡,英雄。
