1、幂函数积分公式:∫x^n dx = x^(n+1)/(n+1) + C(其中C为常数)2、三角函数积分公式:(1)∫sin(x) dx = -cos(x) + C (2)∫cos(x) dx = sin(x) + C (3)∫tan(x) dx = 。
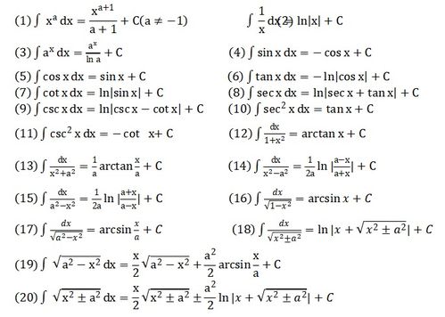
常用不定积分公式如下:1、∫0dx=c。
2、∫x^udx=(x^(u+1))/(u+1)+c。
3、∫1/xdx=ln|x|+c。
4、∫a^xdx=(a^x)/lna+c。
5、∫e^xdx=e^x+c。
6、∫sinxdx=-cosx+c。
不定积分其他情况简介。
许多函数。

不定积分的公式主要有以下几种:1. 常数项公式:∫kdx = kx + C (其中k为常数,C为积分常数)2. 变量代换公式:若u = g(x),则有:∫f(g(x))g'(x)dx = ∫f(u)du (其中u是g(x)的函数)3。
积分公式是用来解决不定积分问题的常用工具。
常用的积分公式包括:基本积分公式:∫x^n dx = (x^(n+1))/(n+1) + C (其中n≠-1)常数乘法积分公式:∫ kf(x) dx = k∫f(x) dx + C 加法积分公式:∫(f(。

∫1/(1-x²)dx =1/2∫[1/(1-x)+1/(1+x)]dx =1/2[-ln|1-x|+ln|1+x|]+C