排列组合计算公式如下:1、从n个不同元素中取出m(m≤n)个元素的所有排列的个数,叫做从n个不同元素中取出m个元素的排列数,用符号 A(n,m)表示。
2、从n个不同元素中,任取m(m≤n)个元素并成一组,叫做从n。
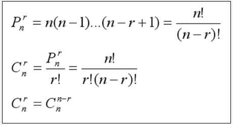
排列组合的基本公式如下:排列数:从n个中取m个排一下,有n(n-1)(n-2)……(n-m+1)种,即n!/(n-m)!。
组合数:从n个中取m个,相当于不排,就是n!/[(n-m)!m!]。
排列组合是数学运算的高频。

c(n,m)=p(n,m)/m!=n!/((n-m)!*m!);c(n,m)=c(n,n-m);3.其他排列与组合公式 从n个元素中取出r个元素的循环排列数=p(n,r)/r=n!/r(n-r)!.n个元素被分成k类,每类的个数分别是n1,n2,。..
排列的公式:A(n,m)=n×(n-1)。(n-m+1)=n!/(n-m)!(n为下标,m为上标,以下同)。
例如:A(4,2)=4!/2!=4*3=12。
组合的公式:C(n,m)=P(n,m)/P(m,m) =n!/m!*(n-m)。

排列的公式:A(n,m)=n×(n-1)……(n-m+1)=n!/(n-m)!(n为下标,m为上标,以下同)。
组合的公式:C(n,m)=P(n,m)/P(m,m) =n!/m!×(n-m)!。
排列组合,排列在组合之前,咱们要聊。