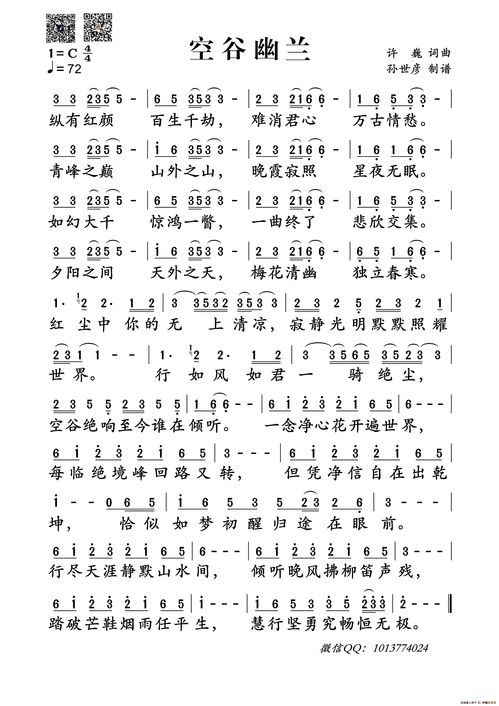
歌曲名:空谷幽兰修正版 歌手/乐队:许巍编配者:lizhengen--- G Em 纵有红颜 百生千劫 D Em 难消君心 万古情愁 G Em 青峰之巅 山外之山 D Em 晚霞寂照 星夜无眠 G Em。
D Em 空谷绝响 至今谁在倾听 Em C 一念净心 花开遍世界 Em G 每临绝境 峰回路又转 Em C 但凭净信 自在出乾坤 Em G 恰似如梦初醒归途在眼前 Em C 行尽天涯 静默山水间 Em G 倾听晚风 拂柳。

10、喜悦 11、空谷幽兰 12、世外桃源 歌手许巍的资料相关 文章 :1. 盘点许巍给别人写过的好听的歌 2. 歌手老狼的简介 3. 情人指弹吉他谱 许巍 4. 那一年吉他谱 双吉他版 许巍 5. 时光吉他谱 许巍 C调 6. 执。
《故乡》吉他谱 1/3 2/3 3/3 《故乡》歌曲原唱:许巍 填词:许巍 谱曲:许巍 歌词 天边夕阳再次映上我的脸庞,再次映着我那不安的心 这是什么地方依然是如此的荒凉,那无尽的旅程如此漫长 我是永远向着远方独行的浪子。

2009-09-30 求许巍 旅行 吉他谱 43 2011-05-14 求许巍执着吉他谱 2 2013-04-21 许巍的《空谷幽兰》 歌词有什么寓意? 714 更多关于许巍的知识 > 网友都在找: 汪峰最好听的歌 许巍空谷幽兰歌词 汪峰好听的歌 正在。