百科大全网
  • 百科首页
  • 资讯快报
  • 营销信息
  • 技术资料
  • 文档大全
  • 问答知识
护照类型是G和P有什么区别,护照类型是p代表什么意思啊

护照类型是G和P有什么区别,护照类型是p代表什么意思啊

我国护照分为几种类型  我国的护照分为:普通护照、外交护照、公务护照三种。  1、普通护照,又分因公普通护照和因私普通护照。  外交护照一般是颁发给具有外交身份的人员使用的护照,如外交官员、领事官员和......
  • 2023-10-21 22:02:16
找回自己原来的样子的句子,找回自己的说说

找回自己原来的样子的句子,找回自己的说说

如何才能找回自己  如何才能找回自己3 01步骤一:认识你自己。  找回自我就要从“认识你自己”入手。  你和自己朝夕相处了这么多年,但你真的认识你自己吗?古希腊哲学家苏格拉底将“认识你自己”作为......
  • 2023-10-21 21:59:52
松兰山景区门票,松兰山景区门票2023

松兰山景区门票,松兰山景区门票2023

松兰山在哪里  松兰山,是中国传统的名胜区之一,位于云南省昆明市,是云南省的重要旅游景点。  松兰山山势峻峭、峰峦叠嶂,自然景观十分壮观。  2018年,松兰山被列入云南省第二批“省级文化名山”名单。......
  • 2023-10-21 21:57:07
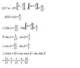
三角函数两角和差公式推导过程,三角函数两角和差公式和二倍角公式

三角函数两角和差公式推导过程,三角函数两角和差公式和二倍角公式

两角和与差的三角函数公式是什么?  两角和差的三角函数公式有:sin(α±β)=sinαcosβ±cosαsinβ;cos(α±β)=cosαcosβ负正sinαsinβ;tan(α±β)=tanα±......
  • 2023-10-21 21:56:15
汕头动物园门票多少钱,汕头动物园好玩吗

汕头动物园门票多少钱,汕头动物园好玩吗

汕头有没有动物园  有的。  汕头动物园位于汕头市粤美河畔的汕头中山公园,它是广东省东部唯一的动物园,汕头动物园创建于1954年,历经50多年的风风雨雨,这里一直是游客特别是孩子们流连忘返的地方。  ......
  • 2023-10-21 21:54:33
价格低怎么说好听,价格低怎么形容

价格低怎么说好听,价格低怎么形容

便宜之价格低是什么意思  少的钱数。  比之前的价格低。  便宜的两种意思是:1、形容商品的价格低廉,比较实惠。  2、形容某人得到了一些小惠小利,一般情况下含贬义,多指通过不正当途径获得的不该属于本......
  • 2023-10-21 21:53:37
心连心猜字谜打一字,心连心打一数字

心连心猜字谜打一字,心连心打一数字

心连心打一字谜底  心连心打一字谜底患 解析:心连心即心串在一起 患 拼音:huàn 解释:1. 忧虑:~得~失。  忧~。  2. 灾祸:~难。  祸~。  隐~。  防~未然。  3. 害病:~病......
  • 2023-10-21 21:52:08
高交会2023年举办时间及地点,高交会是什么展览会

高交会2023年举办时间及地点,高交会是什么展览会

高交会是什么  1、中国国际高新技术成果交易会(简称高交会)是经国务院批准,由商务部、科学技术部、信息产业部、国家发展和改革委员会、教育部、中国科学院和深圳市人民政府共同主办,农业部、中国工程院协办的......
  • 2023-10-21 21:49:41
放牧英语,放牧图片

放牧英语,放牧图片

放牧的拼音  放牧的拼音是fàng mù。  资料扩展:放牧,家畜饲养方式之一。  是使人工管护下的草食动物在水草茂盛处采食并将其转化成畜产品的一种饲养方式。  放牧员在羊群前面带领着,羊群一边吃草一......
  • 2023-10-21 21:48:12
缭怎么读,缭草

缭怎么读,缭草

缭怎么读组词  ”“缭”,现代汉语规范一级字(常用字),普通话读音为liáo,最早见于《说文》中,在六书中属于形声字。  “缭”的基本含义为绕,缠绕,如缭绕、缭乱;引申含义为用针线缝缀,如缭缝坣、缭贴......
  • 2023-10-21 21:45:53
    • 共90150条
    • 第一页
    • 上一页
    • 99
    • 100
    • 101
    • 102
    • 103
    • 104
    • 105
    • 106
    • 107
    • 下一页
    • 最后一页

实时百科

  • 罗乐林老婆,罗乐林神雕侠侣

    罗乐林老婆,罗乐林神雕侠侣

  • 柞水县领导班子,柞水县邮政编码

    柞水县领导班子,柞水县邮政编码

  • 炮烙之刑什么意思,炮烙怎么念

    炮烙之刑什么意思,炮烙怎么念

  • 预备立宪的内容与意义,预备立宪名词解释

    预备立宪的内容与意义,预备立宪名词解释

  • 护心草怎么吃,护心草长什么样

    护心草怎么吃,护心草长什么样

  • 后院起火啥意思,前院观花是什么意思,后院起火预示着什么

    后院起火啥意思,前院观花是什么意思,后院起火预示着什么

  • 亚马逊河流域的常年降水类型属于,亚马逊河流量是长江的几倍

    亚马逊河流域的常年降水类型属于,亚马逊河流量是长江的几倍

  • 简成语,符成语四个字开头

    简成语,符成语四个字开头

  • 归尾和当归的区别,归尾和当归的功效区别

    归尾和当归的区别,归尾和当归的功效区别

  • 寒假记事作文300字,寒假记事作文400字四年级

    寒假记事作文300字,寒假记事作文400字四年级

  • 纪拼音组词,召唤拼音

    纪拼音组词,召唤拼音

  • 贵州省丹寨县邮政编码,贵州省丹寨县兴仁镇邮政编码

    贵州省丹寨县邮政编码,贵州省丹寨县兴仁镇邮政编码

  • 立方米计算器在线,长×宽x高等于立方吗

    立方米计算器在线,长×宽x高等于立方吗

  • 成都龙景花园房价,成都龙景花园二手房价格

    成都龙景花园房价,成都龙景花园二手房价格

  • 学校反恐演练方案,商场反恐演练方案

    学校反恐演练方案,商场反恐演练方案

  • 公司红头文件是什么意思,私企红头文件是什么意思

    公司红头文件是什么意思,私企红头文件是什么意思

网站首页

版权所有:百科大全网    专为读者提供百科知识内容

友情链接: