百科大全网
  • 百科首页
  • 资讯快报
  • 营销信息
  • 技术资料
  • 文档大全
  • 问答知识
爱的曙光歌曲,爱的曙光舞蹈视频

爱的曙光歌曲,爱的曙光舞蹈视频

爱的曙光 歌词  歌曲:爱的曙光 歌手:欧阳菲菲 我和你相聚在一起 就觉得人生有意义 为什么你要离我远去 你要了解我多需要你 你应该知道我深爱你 难道你是一个可爱的谜 你抬头看一看爱你的人 默默的真情......
  • 2023-10-11 17:42:37
数学排列组合公式cnm,数学排列组合公式a与c的区别

数学排列组合公式cnm,数学排列组合公式a与c的区别

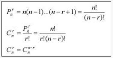
排列组合的公式  排列组合计算公式如下:1、从n个不同元素中取出m(m≤n)个元素的所有排列的个数,叫做从n个不同元素中取出m个元素的排列数,用符号 A(n,m)表示。  2、从n个不同元素中,任取m......
  • 2023-10-11 17:40:58
杨风时评,杨风华

杨风时评,杨风华

风云天下杨风是哪里人  风云天下杨风是广东人。  根据其发布的视频显示的IP属地可以看到是广东人。  风云天下杨风是一个自媒体作者,经常发布一些与时政相关的内容,受到大家的喜爱。  IP属地以运营商信......
  • 2023-10-11 17:35:27
箱子岩文章大意,箱子岩主要讲了什么事

箱子岩文章大意,箱子岩主要讲了什么事

阅读题:箱子岩  ①那天正是五月十五,乡下人过大端阳节。  箱子岩洞窟中最美丽的三只龙船,全被乡下人拖出浮在水面上。  船只狭而长,船舷描绘有朱红线条,全船坐满了青年桡手,头腰各缠红布。  鼓声起处,......
  • 2023-10-11 17:26:47
洪濑镇属于哪个市,洪濑镇镇长赖世清

洪濑镇属于哪个市,洪濑镇镇长赖世清

洪濑镇海拔  618.8米。  根据查询相关公开信息显示,洪濑镇由东溪形成五都洪濑盆地、罗溪形成东峰洪濑盆地,境内最高山峰大帽山,海拔618.8米,低山山峰叠峦形成阶梯状分布辖区四周。  洪濑镇算富镇......
  • 2023-10-11 17:21:58
达开头的四字成语接龙,飞开头的四字成语有哪些成语

达开头的四字成语接龙,飞开头的四字成语有哪些成语

飞字开头的成语  飞字开头的成语如下:飞扬跋扈、飞短流长、飞来横祸、飞檐走壁、飞禽走兽、飞沙走石、飞蛾赴火、飞黄腾达、飞觥献斝、飞沿走壁、飞蛾投火、飞遁鸣高、飞土逐网、飞云掣电、飞将数奇、飞来神笔、飞......
  • 2023-10-11 17:17:29
有些话无人可说,有些人无话可说的图片,无话可说的图片感情

有些话无人可说,有些人无话可说的图片,无话可说的图片感情

累的图片疲惫朋友圈  5、她无比庆幸身边还有这样一个人,在她最无助最凄惨的时候对她说――你还有我。  6、当你感到绝望和无助的时候,想想还有千万亿个细胞只为你一个人而活。  7、突然之间觉得特别的累,......
  • 2023-10-11 17:16:42
馨笔顺笔画,声音的声笔顺

馨笔顺笔画,声音的声笔顺

声的笔顺怎么写  声的笔顺详解 共7画声笔顺 1横 2竖 3横 4横折 5竖 6横 7撇 。  名词 因物体撞击或摩擦所产生,能引起听觉的音波。  【组词】:「笑声」、「雷声」。  名词 音乐。  声......
  • 2023-10-11 17:15:56
山丹天气预报40天,张掖天气预报

山丹天气预报40天,张掖天气预报

山丹军马一场天气预报  山丹军马一场天气预报甘肃>张掖>山丹 天气预报 10日(今天)中雨 21/14℃ 11日(明天)小到中雨转小雨 23/14℃ 12日(后天)阵雨 23/14℃图们天气预报图们天......
  • 2023-10-11 17:13:44
祈梦决狱文言文翻译,祈梦决狱说明了什么问题

祈梦决狱文言文翻译,祈梦决狱说明了什么问题

祈棼决狱文言文翻译  你看看是不是这个: 从前有个县官,遇到一件凶杀案件不能判决,(且)牵连的人员天天增多,于是就到城隍庙中去求梦。   他梦见一神灵(给他)带来一只鬼,这鬼头上顶个瓷杯,杯里种着十余......
  • 2023-10-11 17:13:05
    • 共90150条
    • 第一页
    • 上一页
    • 292
    • 293
    • 294
    • 295
    • 296
    • 297
    • 298
    • 299
    • 300
    • 下一页
    • 最后一页

实时百科

  • 罗乐林老婆,罗乐林神雕侠侣

    罗乐林老婆,罗乐林神雕侠侣

  • 柞水县领导班子,柞水县邮政编码

    柞水县领导班子,柞水县邮政编码

  • 炮烙之刑什么意思,炮烙怎么念

    炮烙之刑什么意思,炮烙怎么念

  • 预备立宪的内容与意义,预备立宪名词解释

    预备立宪的内容与意义,预备立宪名词解释

  • 护心草怎么吃,护心草长什么样

    护心草怎么吃,护心草长什么样

  • 后院起火啥意思,前院观花是什么意思,后院起火预示着什么

    后院起火啥意思,前院观花是什么意思,后院起火预示着什么

  • 亚马逊河流域的常年降水类型属于,亚马逊河流量是长江的几倍

    亚马逊河流域的常年降水类型属于,亚马逊河流量是长江的几倍

  • 简成语,符成语四个字开头

    简成语,符成语四个字开头

  • 归尾和当归的区别,归尾和当归的功效区别

    归尾和当归的区别,归尾和当归的功效区别

  • 寒假记事作文300字,寒假记事作文400字四年级

    寒假记事作文300字,寒假记事作文400字四年级

  • 纪拼音组词,召唤拼音

    纪拼音组词,召唤拼音

  • 贵州省丹寨县邮政编码,贵州省丹寨县兴仁镇邮政编码

    贵州省丹寨县邮政编码,贵州省丹寨县兴仁镇邮政编码

  • 立方米计算器在线,长×宽x高等于立方吗

    立方米计算器在线,长×宽x高等于立方吗

  • 成都龙景花园房价,成都龙景花园二手房价格

    成都龙景花园房价,成都龙景花园二手房价格

  • 学校反恐演练方案,商场反恐演练方案

    学校反恐演练方案,商场反恐演练方案

  • 公司红头文件是什么意思,私企红头文件是什么意思

    公司红头文件是什么意思,私企红头文件是什么意思

网站首页

版权所有:百科大全网    专为读者提供百科知识内容

友情链接: