百科大全网
  • 百科首页
  • 资讯快报
  • 营销信息
  • 技术资料
  • 文档大全
  • 问答知识
环保手工制作衣服,环保手工制作灯笼教程

环保手工制作衣服,环保手工制作灯笼教程

环保材料手工制作  材料:纸板、剪刀、胶水、尺子、笔 步骤:1.用尺子和笔在纸板上画出书架的形状,然后用剪刀将其剪下来。  2.将纸板拼接起来,用胶水粘合。  3.等待胶水干燥后,可以将书架喷上一层环......
  • 2023-09-28 14:06:17
十万紧急的意思,紧急的意思怎么解释

十万紧急的意思,紧急的意思怎么解释

紧急是什么意思 紧急造句 近义词反义词  紧急的意思: [jǐnjí] 必须立即采取行动、不容许拖延的:~集合。  ~措施。  ~关头。  任务~。  战事~。  紧急百科解释: 紧急;名词,......
  • 2023-09-28 14:05:31
陨灭读音,殒灭

陨灭读音,殒灭

陨灭[yǔn miè]什么意思?近义词和反义词是什么?英文翻译是什么?_百度  ”[陨灭]百科解释 陨灭,拼音:yǔn miè,意思是物体从高空掉下而毁灭。   灭亡;丧命。   更多→ 陨灭 [陨......
  • 2023-09-28 14:01:46
上海海事大学是211吗还是一本,上海海洋大学是211吗

上海海事大学是211吗还是一本,上海海洋大学是211吗

上海海事大学是985还是211  上海海事大学不是985工程高校,也不是211工程高校。  上海海事大学(Shanghai Maritime University),位于上海市,是一所以航运、物流、海......
  • 2023-09-28 13:58:03
二年级科幻画第一名,二年级科幻画大全8岁

二年级科幻画第一名,二年级科幻画大全8岁

二年级科技画怎么画  二年级科学画的画法如下 :一、1、今天我们来教大家画科幻画,第一种我们可以画在空中的房子,我们给它画上玻璃罩,我们在天空中可以画上游艇,还可以画上一些机器人,然后我们来涂上颜色;......
  • 2023-09-28 13:45:50
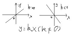
正比例函数图像,正比例公式

正比例函数图像,正比例公式

什么是正比例?  正比例是指两种相关联的量,一种量变化,另一种量也随着变化。  如果这两种量中相对应的两个数比值一定,这两种量就叫做成正比例的量,它们的关系叫做正比例关系。  用字母表示:如果用字母x......
  • 2023-09-28 13:39:16
光辉岁月前奏吉他谱指弹,光辉岁月前奏吉他谱简单版教学视频

光辉岁月前奏吉他谱指弹,光辉岁月前奏吉他谱简单版教学视频

光辉岁月的吉他谱是怎样的?  1、图一 2、图二 3、图三 4、图四光辉岁月吉他谱  如下:Beyond《光辉岁月》《光辉岁月》是Beyond演唱的一首经典歌曲,由黄家驹作曲、粤语版作词及演唱。  这......
  • 2023-09-28 13:37:58
arctan0等于多少,arctan无穷等于多少角度

arctan0等于多少,arctan无穷等于多少角度

arctan∞的值是多少?  arctan∞为-π/2。  arctan函数指的是反正切函数,反正切函数是反三角函数的一种,即正切函数的反函数。  一般在大学高等数学中都有涉及。  反正切函数的定义域......
  • 2023-09-28 13:36:25
覆盖的反义词和近义词,覆盖的反义词英语

覆盖的反义词和近义词,覆盖的反义词英语

覆盖的反义词  覆盖的反义词:揭开、掀起。  一、揭开[ jiē kāi ]使暴露出来。  明 冯梦龙 《喻世明言》第一卷:“三巧儿远远瞧见,只道是他丈夫回了,揭开帘子,定睛而看。  ”二、掀起[ x......
  • 2023-09-28 13:33:42
美感拼音怎么写,美好拼音怎么拼写声调

美感拼音怎么写,美好拼音怎么拼写声调

美好的拼音怎么写  美好的拼音是“měi hǎo”。  下面我将为您详细介绍“美好”这个词所代表的意义,同时从不同角度来探讨这一词语的拼音构成。  1.“美好”代表的含义 “美好”是一个经常被用来形容......
  • 2023-09-28 13:33:01
    • 共90107条
    • 第一页
    • 上一页
    • 580
    • 581
    • 582
    • 583
    • 584
    • 585
    • 586
    • 587
    • 588
    • 下一页
    • 最后一页

实时百科

  • 罗乐林老婆,罗乐林神雕侠侣

    罗乐林老婆,罗乐林神雕侠侣

  • 柞水县领导班子,柞水县邮政编码

    柞水县领导班子,柞水县邮政编码

  • 炮烙之刑什么意思,炮烙怎么念

    炮烙之刑什么意思,炮烙怎么念

  • 预备立宪的内容与意义,预备立宪名词解释

    预备立宪的内容与意义,预备立宪名词解释

  • 护心草怎么吃,护心草长什么样

    护心草怎么吃,护心草长什么样

  • 后院起火啥意思,前院观花是什么意思,后院起火预示着什么

    后院起火啥意思,前院观花是什么意思,后院起火预示着什么

  • 亚马逊河流域的常年降水类型属于,亚马逊河流量是长江的几倍

    亚马逊河流域的常年降水类型属于,亚马逊河流量是长江的几倍

  • 简成语,符成语四个字开头

    简成语,符成语四个字开头

  • 归尾和当归的区别,归尾和当归的功效区别

    归尾和当归的区别,归尾和当归的功效区别

  • 寒假记事作文300字,寒假记事作文400字四年级

    寒假记事作文300字,寒假记事作文400字四年级

  • 纪拼音组词,召唤拼音

    纪拼音组词,召唤拼音

  • 贵州省丹寨县邮政编码,贵州省丹寨县兴仁镇邮政编码

    贵州省丹寨县邮政编码,贵州省丹寨县兴仁镇邮政编码

  • 立方米计算器在线,长×宽x高等于立方吗

    立方米计算器在线,长×宽x高等于立方吗

  • 成都龙景花园房价,成都龙景花园二手房价格

    成都龙景花园房价,成都龙景花园二手房价格

  • 学校反恐演练方案,商场反恐演练方案

    学校反恐演练方案,商场反恐演练方案

  • 公司红头文件是什么意思,私企红头文件是什么意思

    公司红头文件是什么意思,私企红头文件是什么意思

网站首页

版权所有:百科大全网    专为读者提供百科知识内容

友情链接: